Melbourne Housing Price Prediction
πΉ Video Presentation
(https://youtu.be/N3SE29PIr7g)
π Project Overview
This project builds a complete machine learning pipeline to predict Melbourne housing prices using both regression (exact price) and classification (price category) models.
| Dataset | Melbourne Housing Snapshot (Kaggle) |
| Original Size | 13,580 properties, 21 features |
| Final Size | 11,139 properties (82% retained) |
| Target | Price |
Goals
- Build baseline regression model and improve through feature engineering
- Apply K-Means clustering to discover property segments
- Convert to classification and train classification models
- Compare models and identify best performers
π Part 1-2: Exploratory Data Analysis
Data Cleaning Summary
| Step | Action | Impact |
|---|---|---|
| Missing Values | Dropped BuildingArea (47% missing), YearBuilt (40% missing) | - |
| Imputation | Car (median), CouncilArea (mode) | ~1,200 rows |
| Outliers | Removed using IQR method | 2,441 rows |
| Final | 11,139 rows retained | 18% removed |
Price Distribution
Statistics: Mean $1.12M | Median $976K | Range $131K - $3.42M
Research Question 1: Property Type vs Price
| Type | Count | Mean Price |
|---|---|---|
| House | 9,055 (81%) | $1,203,259 |
| Townhouse | 952 (9%) | $936,054 |
| Unit | 1,132 (10%) | $640,529 |
Finding: Houses cost $560K more than units on average.
Research Question 2: Distance from CBD
| Distance | Avg Price |
|---|---|
| 0-5 km | $1,361K |
| 10-15 km | $1,046K |
| 30+ km | $597K |
Finding: Every 5km from CBD reduces price by ~$100-150K. Correlation: -0.31
Research Question 3: Regional Price Differences
Finding: Southern Metropolitan commands 3.5Γ premium over Western Victoria.
Correlation Analysis
Top Correlations with Price:
- Rooms: +0.41
- Bathroom: +0.40
- Distance: -0.31
π Part 3: Baseline Model
| Metric | Value |
|---|---|
| Algorithm | Linear Regression |
| Features | 7 numeric |
| RΒ² Score | 0.4048 |
| MAE | $323,527 |
| RMSE | $425,453 |
Interpretation: Model explains only 40% of price variance. Significant room for improvement through feature engineering.
π§ Part 4: Feature Engineering
Features Expanded: 7 β 43
| Category | Features | Count |
|---|---|---|
| Original Numeric | Rooms, Distance, Bathroom, etc. | 7 |
| One-Hot Encoded | Type, Method, Regionname | 16 |
| Derived Features | Ratios, indicators, bins | 7 |
| Cluster Features | Labels + distances to centroids | 8 |
| Total | 43 |
New Derived Features
| Feature | Purpose |
|---|---|
| Rooms_per_Bathroom | Property efficiency |
| Total_Spaces | Overall size indicator |
| Land_per_Room | Land generosity |
| Is_Inner_City | Location premium flag |
| Luxury_Score | Amenity indicator |
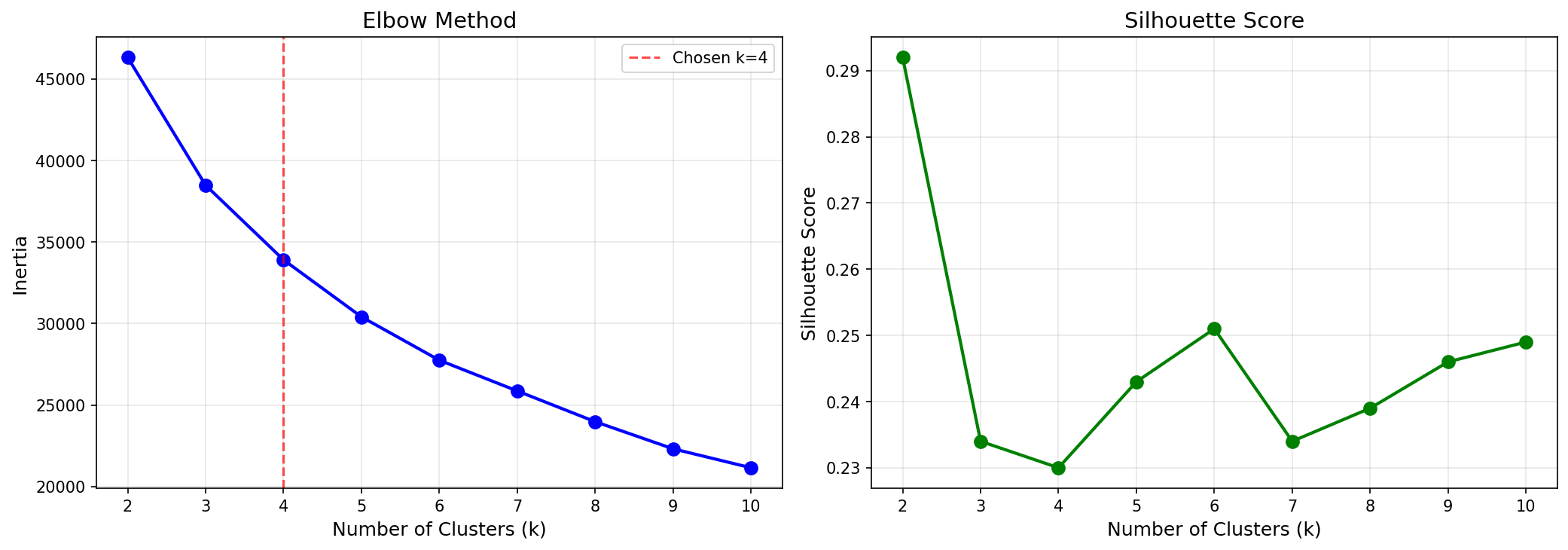
K-Means Clustering (k=4)
We used the Elbow Method and Silhouette Score to determine k=4 clusters.
| Cluster | Profile | Avg Price | Avg Distance | Avg Rooms |
|---|---|---|---|---|
| 0 | Compact Inner Units | $835K | 8.0 km | 2.0 |
| 1 | Premium Family Estates | $1.48M | 12.9 km | 4.2 |
| 2 | Outer Suburban Affordable | $998K | 13.7 km | 3.0 |
| 3 | Inner City Houses | $1.18M | 7.9 km | 3.1 |
Key Insight: Two distinct pricing drivers discovered:
- Location premium (Clusters 0 & 3): Close to CBD
- Size premium (Clusters 1 & 2): Larger properties
π― Part 5: Improved Regression Models
| Model | RΒ² Score | MAE | Improvement |
|---|---|---|---|
| Baseline Linear Reg | 0.4048 | $323,527 | - |
| Improved Linear Reg | 0.6302 | $244,654 | +55.7% |
| Random Forest | 0.7752 | $178,455 | +91.5% |
| Gradient Boosting | 0.7900 | $172,891 | +95.1% |
Feature Importance (Random Forest)
Top 5 Most Important Features:
| Rank | Feature | Importance |
|---|---|---|
| 1 | Regionname_Southern Metropolitan | 0.242 |
| 2 | Distance | 0.172 |
| 3 | Type_h (House) | 0.137 |
| 4 | Dist_to_Cluster_0 | 0.099 |
| 5 | Landsize | 0.062 |
Key Insights:
- Location dominates (Region + Distance)
- Clustering features in top 15 (validated approach)
- Engineered features proved valuable
π Part 6: Regression Winner
Gradient Boosting Regressor
| Metric | Value |
|---|---|
| RΒ² Score | 0.7900 |
| MAE | $172,891 |
| RMSE | $252,728 |
| Improvement over Baseline | +95.1% |
Why Gradient Boosting Won:
- Captures non-linear relationships
- Sequential learning corrects errors iteratively
- Best balance of accuracy and generalization
Saved as: regression_model_gradient_boosting.pkl
π Part 7: Regression to Classification
We converted continuous Price into 3 balanced categories using quantile binning:
| Class | Price Range | Count | Percentage |
|---|---|---|---|
| Low | < $800,000 | 3,593 | 32.3% |
| Medium | $800K - $1.24M | 3,759 | 33.7% |
| High | > $1.24M | 3,787 | 34.0% |
Balance: Imbalance ratio of 1.05 - classes are well balanced.
Precision vs Recall Analysis
For housing price prediction, Precision is more important:
| Error Type | Meaning | Consequence |
|---|---|---|
| False Positive | Predict High, actually Low | Buyer overpays significantly |
| False Negative | Predict Low, actually High | Seller underprices |
Conclusion: False Positives are worse for buyers - prioritize Precision.
π Part 8: Classification Models
| Model | Accuracy |
|---|---|
| Logistic Regression | 71.1% |
| Random Forest | 77.1% |
| Gradient Boosting | 78.9% |
Winner Performance: Gradient Boosting Classifier
| Class | Precision | Recall | F1-Score |
|---|---|---|---|
| Low | 0.85 | 0.86 | 0.85 |
| Medium | 0.69 | 0.70 | 0.70 |
| High | 0.83 | 0.81 | 0.82 |
Observations:
- Medium class hardest to predict (borders both Low and High)
- High precision for High class (0.83) - reliable for buyers
- Gradient Boosting wins both regression AND classification
Saved as: classification_model_gradient_boosting.pkl
π Repository Files
| File | Description | Size |
|---|---|---|
regression_model_gradient_boosting.pkl |
Regression model (RΒ²=0.79) | 419 KB |
classification_model_gradient_boosting.pkl |
Classification model (78.9%) | 1.15 MB |
scaler.pkl |
Regression StandardScaler | 2.32 KB |
classification_scaler.pkl |
Classification StandardScaler | 2.32 KB |
feature_names.pkl |
43 feature names | 762 B |
Assignment_2_....ipynb |
Complete Jupyter notebook | 6.48 MB |
π‘ Key Takeaways
What Worked Well
- Feature engineering was crucial - Linear Regression RΒ² improved from 0.40 to 0.63 (+55%)
- Clustering added value - 4 cluster features in top 15 importance
- Ensemble methods excel - Gradient Boosting won both tasks
- Location is paramount - Region and distance dominate predictions
Challenges
- Medium price class hardest to predict (boundary cases)
- Multicollinearity between Rooms and Bedroom2 (0.94 correlation)
- Right-skewed price distribution required careful outlier handling
Lessons Learned
- Always establish a baseline before feature engineering
- EDA guides modeling decisions
- Clustering reveals hidden patterns
- Same algorithm can perform dramatically different with good features
π Final Summary
| Task | Baseline | Final Model | Improvement |
|---|---|---|---|
| Regression RΒ² | 0.4048 | 0.7900 | +95.1% |
| Regression MAE | $323,527 | $172,891 | -46.6% |
| Classification Accuracy | - | 78.9% | - |
| Features Used | 7 | 43 | +36 |
π€ Tools & Methodology
Use of AI Assistance
This project was completed with the assistance of Claude (Anthropic) as a coding and learning partner.
Why I used Claude:
- To understand best practices for structuring a machine learning pipeline
- To learn proper implementation of sklearn models and evaluation metrics
- To get explanations of concepts like feature engineering, clustering, and model evaluation
- To debug code and understand error messages
- To ensure consistent documentation and code commenting
What I learned through this process:
- The importance of establishing baselines before optimization
- How feature engineering can dramatically improve model performance
- The difference between regression and classification evaluation metrics
- How to interpret clustering results and use them as features
- Best practices for presenting data science work
All code was executed, tested, and validated by me in Google Colab. The final analysis, interpretations, and conclusions are my own understanding of the results.
π€ Author
David Wilfand
Assignment #2: Classification, Regression, Clustering, Evaluation
π References
- Dataset: Melbourne Housing Snapshot - Kaggle
- Tools: scikit-learn, pandas, numpy, matplotlib, seaborn
- Algorithms: Linear Regression, Random Forest, Gradient Boosting, K-Means
- Downloads last month
- -










